見圳客戶端·深圳新聞網2019年10月10日訊 10月8日深圳市地方金融監督管理局(深圳市政府金融工作辦公室)發布了關于網貸失信懲戒第一批失信人名單的通知。
據悉,根據深圳市地方金融監督管理局此前發布的《關于加強深圳市網貸行業嚴重失信行為聯合懲戒工作的通知》,為落實失信懲戒工作,各網貸平臺及深圳市互聯網金融協會先后公示多批失信人員名單。
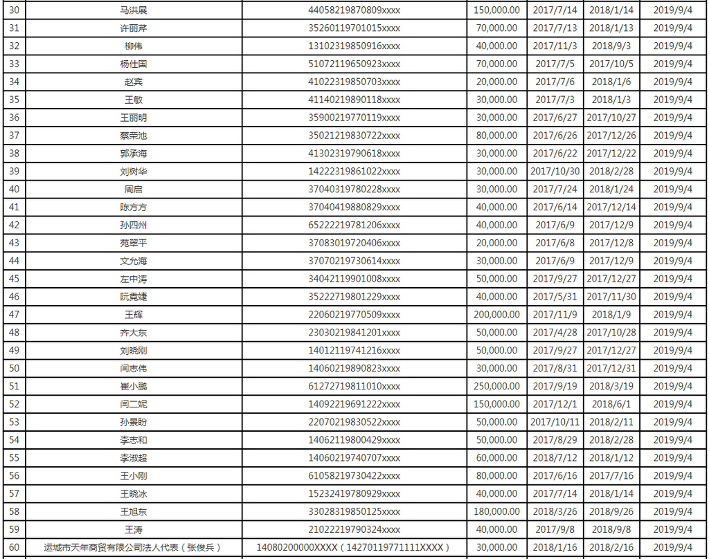
為進一步維護網貸行業秩序,加強失信懲戒力度,深圳市地方金融監督管理局對深圳市互聯網金融協會報送的數據進行信息整理、資料評估、數據篩查后,公布了第一批74名失信網貸借款人的相關信息。
網絡借貸信息中介機構失信人信息表



圖表來源:深圳市地方金融監督管理局官網
據深圳市地方金融監督管理局披露的網絡借貸信息中介機構失信人信息表顯示,74名失信網貸借款人中,有5名是企業的法人代表,分別為運城市天年商貿有限公司法人代表張俊兵、益陽市逸晨貿易有限公司法人代表熊迎春、南寧市亮輝二手車交易有限責任公司法人代表肖傳富、清徐縣樂村淘電子商務有限公司法人代表羅棟及運城市韓大汽車銷售服務有限公司法人代表韓立哲。其中,運城市韓大汽車銷售服務有限公司法人代表韓立哲逾期金額居首,達到了100萬元,借款時間是2018年4月2日,逾期開始時間是2018年10月2日,截至2019年10月9日已逾期一年多。
深圳金融監管局特別提示,若名單內的借款人出現異議,請將相關佐證材料發送至深圳互金協會郵箱szifapublic@szifa.org.cn,由協會整理相關材料報送至深圳金融監管局。同時,深圳監管方表示,將會陸續公示失信網貸借款人名單,并將相關信息報送征信機構。